Advertisement

Berita Kategori "Politik"

Peringatan HAM di UII: Akademisi Kritik Penyelesaian Kasus Pelanggaran Berat

Peringatan Hari HAM Sedunia di UII: Kritik terhadap Penyelesaian Pelanggaran HAM Berat Peringatan Hari Hak Asasi Manusia (HAM) Sedunia di Fakultas Ilmu Sosial dan Budaya (FISB) Universitas Islam Indonesia (UII), Jumat

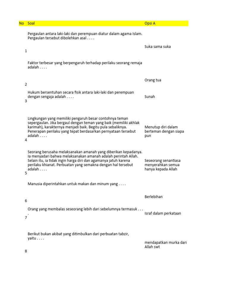
50 Soal Essay Aqidah Akhlak Kelas 12 MA Terbaru dengan Jawaban

Kumpulan Soal dan Jawaban Essay Aqidah Akhlak Kelas 12 SMA/SMK/MA Berikut ini adalah kumpulan soal dan jawaban essay Aqidah Akhlak untuk siswa kelas 12 SMA, SMK, atau MA. Soal-soal ini dirangkum sebagai bahan belajar

Prabowo Tiba di Langkat, Pantau Banjir dan Sapa Warga dari Mobil Maung

MEDAN, nurulamin.pro Presiden Prabowo Subianto tiba di Kabupaten Langkat, Sumatera Utara (Sumut), pada hari Sabtu (13/12/2025) siang, untuk melanjutkan kunjungan penanganan banjir ke wilayah tersebut. Berdasarkan

Dewanto Terpilih Aklamasi Pimpin DPC Hanura Tolitoli

Kepemimpinan Partai Hanura Tolitoli Memasuki Masa Baru Kepemimpinan Dewan Pimpinan Cabang (DPC) Partai Hati Nurani Rakyat (Hanura) Kabupaten Tolitoli akhirnya menemui titik terang. Dewanto resmi terpilih sebagai Ketua

Kota Lama Surabaya Terancam! Jambret Terekam CCTV, Wali Kota Turun Tangan dan Amankan Etalase Wisata

Aksi Kriminal di Kota Lama Memicu Strategi Keamanan Berlapis Aksi kriminal yang terjadi di kawasan hits Kota Lama memaksa Pemkot Surabaya mengambil langkah-langkah strategis untuk meningkatkan keamanan. Dari patroli

PUPR Kalsel Juara 2 Pengelola Pengaduan, Respons Cepat Jadi Kunci Sukses

Prestasi PUPR Kalsel dalam Pengelolaan Pengaduan Dinas Pekerjaan Umum dan Penataan Ruang Provinsi Kalimantan Selatan (PUPR Kalsel) kembali mencatatkan prestasi yang membanggakan pada tahun 2025. Dalam ajang Apresiasi

Antisipasi Ancaman Keamanan, Subdenpom Ciamis Pantau Tempat Hiburan Malam

Upaya Peningkatan Keamanan di Kabupaten Ciamis Subdenpom Ciamis bersama personel gabungan dari Polres dan Satpol PP melakukan kegiatan razia di sejumlah tempat hiburan malam di Kabupaten Ciamis, Jumat (12/12/2025)

Jurnal IUS FHISIP Unram Raih Penghargaan Emas 2025, Ahmad Zuhairi Tekankan Komitmen Tim

Prestasi Menggembirakan Jurnal IUS Kajian Hukum dan Keadilan Jurnal IUS Kajian Hukum dan Keadilan kembali menorehkan prestasi membanggakan setelah berhasil meraih predikat Gold Winner pada Kategori Pengelolaan Jurnal

Pantau Kondisi Warga Terdampak di Aceh Tamiang, Prabowo: Sesuai Janji Saya

Kunjungan Presiden Prabowo Subianto ke Wilayah Terdampak Bencana Aceh Tamiang Presiden Republik Indonesia, Prabowo Subianto, melakukan kunjungan kerja untuk meninjau wilayah yang terdampak bencana di Kabupaten Aceh

Polda Kalsel Gelar Doa Bersama dan Kumpulkan Rp1 Miliar untuk Korban Banjir Sumatera

Kepolisian Daerah Kalimantan Selatan Berikan Bantuan untuk Korban Banjir di Sumatera Kepolisian Daerah Kalimantan Selatan (Polda Kalsel) menggelar kegiatan doa bersama dan penggalangan donasi sebagai bentuk kepedulian